合作客戶/
拜耳公司 |
同濟大學 |
聯合大學 |
美國保潔 |
美國強生 |
瑞士羅氏 |
相關新聞Info
-
> 無機鹽對油/水界面張力及對油滴鋪展的影響規律
> 采空區CO2地層水系統的界面張力(IFT)影響規律
> 離子組成、pH值對納米SiO2/SDS體系降低油水界面張力的影響(一)
> 烷基-β-D-吡喃木糖苷溶解性、表面張力、乳化性能等理化性質研究(一)
> 低表面界面張力驅、滲一體化驅油劑的合成路線
> 基于表面張力測試儀研究表面活性劑促進浮選精煤脫水的機理(一)
> 水滴附著在垂直立面(鏡子、瓷磚等)靠什么原理?
> 電化學氧化對液態金屬表面張力的影響機制:表面張力可隨電位變化
> 混合型烷醇酰胺復雜組成對油/水界面張力的影響規律(二)
> 表面張力對龍泉青瓷梅子青釉熔體表面形狀、燒成制品外觀質量的影響(二)
推薦新聞Info
-
> 新型POSS基雜化泡沫穩定劑表面張力測定及對泡沫壓縮性能的影響(三)
> 新型POSS基雜化泡沫穩定劑表面張力測定及對泡沫壓縮性能的影響(二)
> 新型POSS基雜化泡沫穩定劑表面張力測定及對泡沫壓縮性能的影響(一)
> 多功能膜材研發:界面張力已成為整套工藝鏈協同下動態演化的核心控制點
> 不同類型的聚醚類非離子破乳劑對PPG-稀釋原油界面膜性質的影響(下)
> 不同類型的聚醚類非離子破乳劑對PPG-稀釋原油界面膜性質的影響(上)
> 表面張力、XPS試驗研究DDA或TPA在鋰云母表面的吸附機理——試驗結果分析與討論、結論
> 表面張力、XPS試驗研究DDA或TPA在鋰云母表面的吸附機理——試驗原料及研究方法
> 超微量天平應用于珊瑚鍶-鈣溫度計的研究
> ?90%實驗室不知道:表面張力儀讀數誤差的隱秘來源與終極解決方案
新型POSS基雜化泡沫穩定劑表面張力測定及對泡沫壓縮性能的影響(一)
來源:功能材料 瀏覽 17 次 發布時間:2025-09-03
摘要:為提升硬質聚氨酯材料的力學性能,研究以巰巰基POSS(SH-POSS)為有機-無機納米橋梁,采用“烯-硫醇”點擊化學反應,結合疏水基團單端乙烯基聚二甲基硅氧烷(VDMS)、2-壬烯酸甲酯(FEMA)以及親水基團聚乙二醇單丙烯酸酯(APEG400)和烯丙基聚醚(APEG750)制備了新型POSS基雜化泡沫穩定劑。利用傅里葉紅外光譜和核磁共振波譜對目標雜化材料進行了分子結構表征,通過測試其表面張力、溶解性及力學性能,評估了不同化學結構泡沫穩定劑對泡沫壓縮性能的影響。結果顯示,POSS基復合材料結構可控的分子特點能使其表面張力低至25.31mN/m,聚醚鏈段的存在能有效改善組分間相容性,顯著提高了氣泡穩定性。該納米雜化材料可有效吸附于硬質聚氨酯泡沫結構內部,增強泡壁強度,賦予泡沫材料更加細膩均勻的泡孔分布及優異的力學性能,壓縮強度提升至205.29kPa。
引言
硬質聚氨酯泡沫材料因其優異的隔熱、隔音和機械性能,廣泛應用于建筑、家電和汽車等領域。隨著應用需求的增加,特別是在承載性應用中,泡沫的抗壓縮性能變得尤為重要。泡沫的結構穩定性與發泡過程中泡孔的尺寸、均勻性及泡孔壁強度密切相關,因此優化泡孔結構和選擇合適的泡沫穩定劑至關重要。
目前,常用的有機硅基泡沫穩定劑雖然能調節泡孔結構,但現有市場銷售的泡沫穩定劑在高負荷應用條件下,仍無法顯著提高聚氨酯泡沫的抗壓縮強度,泡孔結構容易受壓變形,從而影響材料的整體性能。
POSS基復合材料因其籠型結構和良好的相容性,具有改善聚氨酯泡沫力學性能的潛力,它不僅能在泡孔表面形成穩定膜,抑制大孔生成,還能與發泡組分反應,增強泡孔內壁的力學性能。
為此,本研究提出了一種基于自制POSS基復合材料的新型泡沫穩定劑,通過在其結構中引入特定的功能化鏈段,以改善硬質聚氨酯泡沫力學性能。實驗結果表明,添加自制POSS基復合材料的泡沫不僅泡孔結構均勻,泡孔內壁致密,壓縮性能顯著增強,還能顯著提升抗壓縮強度,展現出良好的應用潛力。本研究通過對POSS基泡沫穩定劑的分子結構設計及其在發泡體系中的作用機理進行深入探討,為未來硬質聚氨酯泡沫材料的優化提供了新的思路和解決方案。
1實驗
1.1實驗原材料
試劑:巰巰基POSS(SH-POSS)、聚乙二醇單丙烯酸酯、聚硅氧烷為實驗室自制;環戊烷、光引發劑(2,2-二甲氧基-2-苯基苯乙酮)、2-壬烯酸甲酯、二氯甲烷均為分析純,上海泰坦科技;烯丙基聚醚、聚醚多元醇、多異氰酸酯、國產泡沫穩定劑1(國產-1)、進口泡沫穩定劑2(進口-2)均源自南京美思德有限公司。
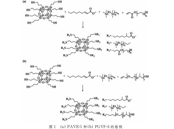
1.2 POSS-APEG4001-VDMS2-FEMA5與POSS-APEG750_1-VDMS1-FEMA6雜化材料的制備
在已經加入25mL二氯甲烷溶劑的50mL圓底燒瓶中加入定量組分的APEG400、VDMS和FEMA,進行混合溶解,最后加入1%(質量分數)的光引發劑溶解完全后進行封口處理,于溫度為30℃、攪拌速度為300r/min的條件下,放置于紫外燈(20W)照射45min,反應結束后,旋蒸除去溶劑,最終得到無色透明、流動性明顯且富有粘稠狀態的液體產物POSS-APEG4001-VDMS2-FEMA5,簡稱為PAVE-5。同樣的方法改變其中之一的單體為APEG750,合成得到POSS-APEG7501-VDMS1-FEMA,簡稱PGVF-6。
1.3硬質聚氨酯泡沫塑料制備
根據傳統制備工藝制備硬質聚氨酯泡沫,分別把添加國產-1、進口-2、PAVE-5和PGVF-6泡沫穩定劑得到的硬質聚氨酯泡沫命名為RPU-1、RPU-2、RPU-3、RPU-4。
表1添加不同泡沫穩定劑得到的不同硬質聚氨酯泡沫
1.4樣品的性能及表征
1.4.1傅里葉紅外光譜(FT-IR)
通過FT-IR光譜儀分析樣品的分子結構和化學組分,Nicolet8700型,賽默飛世爾科技公司。
1.4.2核磁共振氫譜(1HNMR)
通過核磁共振譜儀分析樣品的分子結構和化學組分,DMX600型,布魯克磁共振事業部。
1.4.3壓縮性能測試
按GB/T8813-2008標準,通過微控電子萬能試驗機測試樣品的壓縮性能,WDW3020型,上海華龍測試儀器有限公司。
1.4.4掃描電鏡(SEM)
通過臺式掃描電鏡分析樣品的微觀泡孔結構和分布狀況,SU8010型,日立科學儀器有限公司。
1.4.5表面張力
通過全自動表/界面張力儀測試樣品的表面張力,Delta-8型,芬蘭Kibron公司。
1.4.6黏度
通過旋轉流變儀測試樣品的黏度,MCR302e型,安東帕(上海)商貿有限公司。
新型POSS基雜化泡沫穩定劑表面張力測定及對泡沫壓縮性能的影響(一)





