合作客戶/
拜耳公司 |
同濟大學 |
聯合大學 |
美國保潔 |
美國強生 |
瑞士羅氏 |
相關新聞Info
-
> 二氧化碳氣體保護焊表面張力過渡的解決辦法
> 含氟聚氨酯超疏水涂層表面性能、化學穩定性、耐摩擦性能研究——摘要、實驗部分
> 改性環氧樹脂乳液型碳纖維上漿劑制備、表面張力、黏度等性能測試(二)
> 3種增效劑對滅草松AS、草銨膦AS、高效氟吡甲禾靈EC增效作用及表面張力影響(三)
> Delta-8 動物胃腸道體內中藥物的溶解度的測定——結論、工具書類!
> 不動桿菌菌株XH-2產生物表面活性劑發酵條件、性質、成分研究(二)
> 如何理解“表面張力”這一概念?
> 高速運動的微小水滴撞擊深水液池產生的空腔運動及形成機理(三)
> Langmuir槽法研究不同電性Gemini表面活性劑對界面吸附膜性質的影響(一)
> 勝利油田常規和親油性石油磺酸鹽組成、色譜、質譜、界面張力測定(二)
推薦新聞Info
-
> ?90%實驗室不知道:表面張力儀讀數誤差的隱秘來源與終極解決方案
> 基于LB膜技術制備膠原蛋白肽覆層羥基磷灰石的新方法——結果與討論、結論
> 基于LB膜技術制備膠原蛋白肽覆層羥基磷灰石的新方法——摘要、材料與方法
> 離子組成、pH值對納米SiO2/SDS體系降低油水界面張力的影響(三)
> 離子組成、pH值對納米SiO2/SDS體系降低油水界面張力的影響(二)
> 離子組成、pH值對納米SiO2/SDS體系降低油水界面張力的影響(一)
> 豬肉、雞肉和魚肉肌漿蛋白油-水界面性質、氨基酸組成、蛋白質構象研究(三)
> 豬肉、雞肉和魚肉肌漿蛋白油-水界面性質、氨基酸組成、蛋白質構象研究(二)
> 豬肉、雞肉和魚肉肌漿蛋白油-水界面性質、氨基酸組成、蛋白質構象研究(一)
> 雙子型起泡劑ULT-1的分子結構式、表面張力、抗溫/抗鹽性能及煤樣潤濕性變化——結果與討論、結論
不同濃度的過氧化氫模擬氧化對豬皮明膠乳化性能、界面張力、Zeta電位的影響(二)
來源:肉類研究 瀏覽 133 次 發布時間:2025-08-07
1.3.2 乳化性能測定
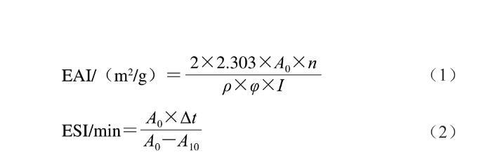
將1.3.1節制備的明膠溶液稀釋至5 mg/mL,然后將8 mL明膠溶液與2 mL玉米油混合,使用均質器在14 000 r/min條件下將混合物均質化,在均質0 min和10 min后分別從試管底部取新鮮制備的乳液(30 μL),并與0.1 g/100 mL十二烷基硫酸鈉溶液(3 mL)混合。隨后,在500 nm波長處測定混合溶液的吸光度。乳化活性指數(emulsifying activity index,EAI)和乳化穩定性指數(emulsifying stability index,ESI)分別按式(1)、(2)計算:
式中:A0為均質0 min乳液制得混合溶液在500 nm處的吸光度;n為乳液稀釋倍數;ρ為明膠質量濃度/(mg/mL);φ為乳液中玉米油的體積分數(0.2);I為比色皿厚度(0.01 m);A10為均質10 min乳液制得混合溶液在500 nm處的吸光度;Δt為時間間隔(10 min)。
1.3.3 水接觸角測定
在室溫下,將1.3.1節制備的明膠溶液150 μL均勻涂抹在顯微鏡載玻片上,放置1 h后形成明膠膜。隨后,用內徑為1.823 mm的注射器針吸附一定體積的去離子水,然后將注射器固定,在明膠膜表面加入1 滴去離子水。明膠膜表面的水接觸角采用液滴形狀分析儀的無柄液滴法測量。用微量注射器將超純水(5 μL)滴入明膠膜表面,立即記錄側視圖并計算水接觸角。
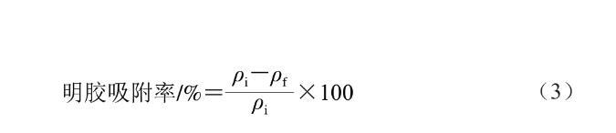
1.3.4 明膠吸附率測定
參考Tian Yan等的方法,并稍作改動。將1.3.2節新鮮制備的乳液在20 ℃下以12 000 r/min離心30 min后,將油滴和吸附在油滴上的蛋白質從水相中分離出來。隨后,用注射器抽取離心管底部的溶液,并用0.22 μm濾膜過濾。明膠吸附率按式(3)計算:
式中:ρi為乳液中明膠初始質量濃度/(mg/mL);ρf為乳液濾液中明膠質量濃度/(mg/mL)。
1.3.5 界面張力測定
使用芬蘭Kibron dIFT雙通道動態界面張力儀測定明膠樣品的界面張力。 使用內徑為1.823 mm的注射器針頭吸附一定體積的明膠溶液,然后將注射器針頭插入含有玉米油的透明石英比色皿中,通過儀器內置的電動注射裝置精確注入明膠溶液,在針尖形成穩定的懸滴。隨后,通過該儀器配套的液滴形狀分析軟件精確確定明膠溶液與玉米油之間的界面張力。
1.3.6 Zeta電位測定
從試管底部取新鮮制備的乳液30 μL,并與3 mL去離子水混合。乳液的Zeta電位由激光粒度分析儀測定。每個樣品重復測定6 次。
1.3.7 乳液微觀結構觀察
將1 mL新鮮制備的乳液與40 μL熒光染料(0.11 g/L尼羅紅和10 g/L尼羅藍)混合,玉米油和明膠分別用尼羅紅和尼羅藍來標記。將混合物渦旋約30 s,并在黑暗條件下孵育5 min。熒光染料的溶劑為98% 1,2-丙二醇溶液。使用帶有63×油物鏡的CLSM觀察樣品。乳液樣品分別在480 nm和633 nm處被激發,在600~660 nm(尼羅紅)和660~700 nm(尼羅藍)處被檢測到。CLSM的掃描頻率為100 Hz,掃描密度為1 024×1 024。玉米油和明膠的CLSM圖像分別以綠色和紅色呈現。
1.4 數據處理與分析
所有實驗數據的統計分析均使用SPSS Statistics 17.0(SPSS Inc.,Chicago,IL,USA)進行,并且結果均以平均值±標準差表示。對數據進行單因素方差分析,采用最小顯著性差異檢驗分析數據間的差異性,顯著性水平為P<0.05。
2 結果與分析
2.1 氧化對明膠乳化性能的影響
明膠的EAI反映蛋白質快速遷移到油-水界面并形成小液滴的能力。如圖1A所示,隨著過氧化氫濃度的增加,明膠的EAI增加,從未氧化組的21.1 m2/g增加到30 mmol/L過氧化氫組的34.3 m2/g,增加50%左右。有研究表明,肌原纖維蛋白被氧化后,其EAI也會提高。這與本研究中氧化明膠EAI的結果一致。氧化肌原纖維蛋白EAI的提高與氧化誘導蛋白質中更多的疏水基團暴露有關,蛋白質中疏水基團的暴露增強了蛋白質與油滴的相互作用,從而表現出更好的EAI。據報道,米糠酸敗誘導米糠蛋白質發生適當氧化后,氧化修飾促進了蛋白質的部分展開,也增加了蛋白質中疏水基團的暴露,從而提高米糠蛋白的EAI。一些研究還發現轉谷氨酰胺酶修飾明膠后,轉谷氨酰胺酶中ε-(γ-谷氨酰基)-賴氨酸異肽鍵的插入和ε-氨基的缺失可能會增加明膠的表面疏水性,從而提高明膠的乳化性能。
圖1 不同過氧化氫濃度下明膠的EAI(A)和ESI(B)
明膠的ESI可以反映蛋白質吸附到油-水界面后穩定油滴的能力。如圖1B所示,隨著過氧化氫濃度的增加,明膠的ESI下降,未氧化組的ESI為18.7 min,30 mmol/L過氧化氫組為14.1 min,下降4.6 min。Tian Yang等探究丙二醛的氧化修飾對蛋黃高密度脂蛋白的結構和乳化性能的影響,發現丙二醛會與蛋白質發生席夫堿反應后聚集并形成氧化聚集體,降低蛋白質分子的柔韌性和乳液界面的穩定性,最終導致蛋白質乳化能力下降。這與本研究中氧化明膠乳化穩定性的結果一致。Liu Huihua等研究不同pH值條件對明膠乳化性能的影響,認為油-水界面層明膠分子之間相互排斥作用隨著pH值的增加而降低,油滴之間相互排斥作用的減少有利于它們的聚集,從而表現出較弱的乳化穩定性。
2.2 氧化對明膠水接觸角的影響
水接觸角可以反映明膠的表面兩親性。如圖2所示,隨著過氧化氫濃度的增加,明膠水接觸角增加,從未氧化組的117°增加到30 mmol/L過氧化氫組的121°。水接觸角的增加可能歸因于蛋白質疏水性的增強。Feng Xin等支持這一觀點,并表示利用噴霧干燥技術提取明膠后,明膠疏水性的增加提高了水接觸角。這可能歸因于噴霧干燥技術可以暴露出明膠中更多的疏水基團,從而表現出更好的疏水性能并改善明膠的兩親性,并且更有利于改善明膠的界面性能和乳化性能。Wang Jin等將明膠和兒茶素混合制備納米顆粒,發現蛋白質-多酚納米顆粒的自組裝過程中,明膠的疏水基團暴露于水相,因此蛋白質-多酚納米顆粒表現出更高的疏水性能,從而牢固吸附在油-水界面上,提高乳液的穩定性。
圖2 不同過氧化氫濃度下明膠的水接觸角





